#UnityFFDShaderForTextureDefromation In this repository i implemented free form deformation (FFD 3X4) shader for texture deformation. I used Bernstein polynomial and Bilinear interpolation to deform uv in shader respect to control points.
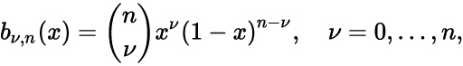
Bernstine Polynomial:
https://en.wikipedia.org/wiki/Bernstein_polynomial
Bilinear Interpolation:



